stddev_samp
式の標本標準偏差を返します。バージョン 2.5.10 以降、この関数はウィンドウ関数としても使用できます。
構文
STDDEV_SAMP(expr)
パラメータ
expr: 式。テーブルの列である場合、TINYINT、SMALLINT、INT、BIGINT、LARGEINT、FLOAT、DOUBLE、または DECIMAL に評価される必要があります。
戻り値
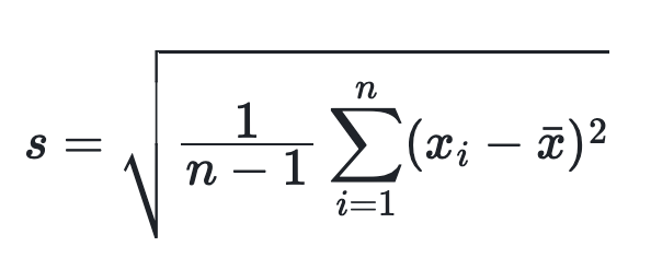
DOUBLE 値を返します。式は以下の通りで、n はテーブルの行数を表します。

例
MySQL > select stddev_samp(scan_rows)
from log_statis
group by datetime;
+--------------------------+
| stddev_samp(`scan_rows`) |
+--------------------------+
| 2.372044195280762 |
+--------------------------+
関連項目
キーワード
STDDEV_SAMP,STDDEV,SAMP