covar_samp
2 つの式の標本共分散を返します。この関数は v2.5.10 からサポートされています。ウィンドウ関数としても使用できます。
Syntax
COVAR_SAMP(expr1, expr2)
Parameters
expr1 と expr2 は TINYINT、SMALLINT、INT、BIGINT、LARGEINT、FLOAT、DOUBLE、または DECIMAL に評価される必要があります。
expr1 と expr2 がテーブルの列である場合、この関数はこれら 2 つの列の標本共分散を計算します。
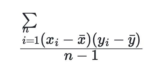
Return value
DOUBLE 値を返します。式は以下の通りで、n はテーブルの行数を表します。

Usage notes
-
データ行は、この行の 2 つの列が非 NULL 値である場合にのみカウントされます。それ以外の場合、このデータ行は結果から除外されます。
-
nが 1 の場合、0 が返されます。 -
いずれかの入力が NULL の場合、NULL が返されます。
Examples
テーブル agg に次のデータがあるとします:
mysql> select * from agg;
+------+-------+-------+
| no | k | v |
+------+-------+-------+
| 1 | 10.00 | NULL |
| 2 | 10.00 | 11.00 |
| 2 | 20.00 | 22.00 |
| 2 | 25.00 | NULL |
| 2 | 30.00 | 35.00 |
+------+-------+-------+
k 列と v 列の標本共分散を計算します:
mysql> select no,COVAR_SAMP(k,v) from agg group by no;
+------+--------------------+
| no | covar_samp(k, v) |
+------+--------------------+
| 1 | NULL |
| 2 | 119.99999999999999 |
+------+--------------------+