メインコンテンツまでスキップ
バージョン: 3.5

corr

2 つの式間のピアソン相関係数を返します。この関数は v2.5.10 からサポートされています。ウィンドウ関数としても使用できます。

Syntax

CORR(expr1, expr2)

Parameters

expr1expr2 は、TINYINT、SMALLINT、INT、BIGINT、LARGEINT、FLOAT、DOUBLE、または DECIMAL に評価される必要があります。

expr1expr2 がテーブルの列である場合、この関数はこれら 2 つの列の相関係数を計算します。

Return value

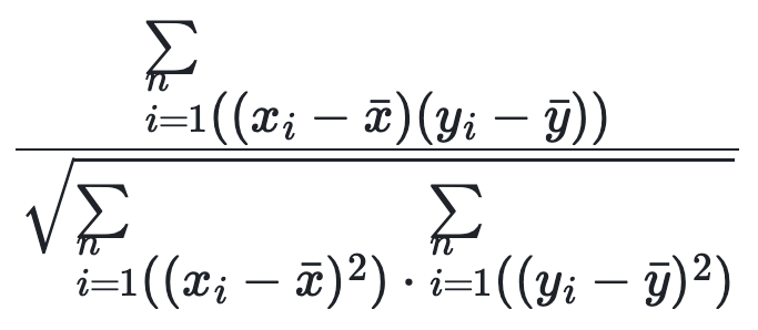
DOUBLE 値を返します。式は以下の通りで、n はテーブルの行数を表します。

corr formula

Usage notes

  • データ行は、この行の 2 つの列が非 NULL 値である場合にのみカウントされます。それ以外の場合、このデータ行は結果から除外されます。

  • n が 1 の場合、0 が返されます。

  • 任意の入力が NULL の場合、NULL が返されます。

Examples

テーブル agg に次のデータがあるとします:

mysql> select * from agg;
+------+-------+-------+
| no | k | v |
+------+-------+-------+
| 1 | 10.00 | NULL |
| 2 | 10.00 | 11.00 |
| 2 | 20.00 | 22.00 |
| 2 | 25.00 | NULL |
| 2 | 30.00 | 35.00 |
+------+-------+-------+

k 列と v 列の相関係数を計算します:

mysql> select no,CORR(k,v) from agg group by no;
+------+--------------------+
| no | corr(k, v) |
+------+--------------------+
| 1 | NULL |
| 2 | 0.9988445981121532 |
+------+--------------------+